开放合作研究团队第11期Seminar学习讨论会
2021年8月10日晚19:00-20:00,中山大学区域开放与合作研究院文献研读会议以线上方式成功举行。本次学习讨论会由刘姿宜同学分享文献。参加学习讨论会人员包括毛艳华教授、李兵副教授、副研究员、博士后以及博士生和硕士生等,另有澳门科技大学、澳门城市大学博士生通过线上形式参与了本次学习讨论会。

Long-Range Growth: Economic Development in the Global Network of Air Links
(全球航空网络中的经济发展)
Filipe Campante, David Yanagizawa-Drott

一、引言
本文研究了国际长途飞行对全球经济活动空间分配的影响。为了确定因果关系,本文使用断点回归的方法进行研究,利用了由于监管和技术限制所产生的差异,这些差异会导致距离6000英里的城市之间连接的不连续性。研究结果表明,改善机场在空中交通网络中的地位对当地的经济活动有积极影响,空中联系还增加了商业联系,而人的流动促进了资本的流动。特别是,这主要是由资本从高收入国家流向中等收入国家所推动的,而低收入国家并不会从航空网络的建立中获益。综上所述,本文研究发现,日益增加的相互联系会促进企业之间的联系,并在地方一级产生经济活动,但也会导致全球空间不平等加剧。
二、本文贡献
本文涉及全球化对经济的影响,过去许多文献更着眼于运输技术对贸易和开放所带来的影响,且大多数是从国家层面进行研究,本文从微观层面进行分析,更关注空中连接网络所带来的人员流动。且大量文献在研究航空联系和经济发展的关系时,很难确认两者的因果效应,本文的方法允许在全球层面上进行因果识别,并研究对经济活动的影响和通过商业联系的潜在渠道。
三、研究背景
在当今全球化背景下,交通比以往更便宜、更快捷,这也让航空业迅速发展,全世界在一个全球网络中有效连接在一起,相隔遥远的国家和大陆间的人员流动成为可能。人们能够在不同地方之间来回移动,开辟了新的交流和相互作用的可能性,对发展产生了变革性的影响。其中,国际航班更是拉近了国际间的联系,促进人流、信息流、投资流、贸易流的发展和移动,将全球活跃的经济体紧密地联系在了一起,为各经济体的经济发展提供了新的动力。
另外,由于成本技术和监管限制,远距离航线需承担高昂的营运成本,超长距离航行耗时较长(12小时及以上),各国对该距离飞行需要配备的飞行员及乘务员有强制规定,超12小时的航线需要增加2名飞行员,而飞行人员的增加产生的飞行成本占据了非燃油成本的36%(总成本的11%),此外,机组人员的增加还将导致座位减少。综上,这使得远距离航线在运营收益方面与短距离航线有较大的区别,而12小时的航线距离大约为6000英里,由此本文利用飞行航线限制所造成的不连续性,得到了下图所呈现的情况:

可以发现航线数量在6000英里处有明显的下降,说明6000英里以上的长途航线与短途航线相比有明显不同,其在全球经济发展中也扮演了特殊的角色。
那么,这种通过航空所形成的空间上的连接究竟是如何影响城市经济活动的?本文将就此问题展开讨论。
四、数据来源
1.航空连接方面。使用了1989—2014年期间的国际民用航空组织(ICAO)的飞行阶段客流量(TFS)数据库,包含飞机类型、航班数量、客流量(旅客和货邮运输量),并与“机场交通”(Airport Traffic)数据库的主要国际机场坐标信息进行合并。
最终使用1989—2014年期间,来自200个国家中819个城市的主要国际机场的历史通航状况及航程在2000英里以上的航班信息,由此确定城市间各年直飞航班连接情况,并依据与之相连的城市构建了给定城市的网络中心性,以此衡量航空联系的质量。
2.经济活动方面。经济活跃度则是使用美国国家海洋和大气管理局(NCEI-NOAA)提供的1992—2010年的夜间灯光数据衡量,并参考Lowe(2014)的处理方式,将灯光数据加总至0.25×0.25度的网络方格进行度量。
3.商业联系方面。为了阐明航空联系对经济活动影响的背后潜在机制,使用了空间信息数据库,以及包含523703家具有跨国持有关系的企业的坐标等信息的Orbis企业在线数据库、包含1979—2013年期间距离机场100英里以内的31000条商务事件的GDELT数据库。商务事件的对象选取为涉及“商业”或“跨国公司”的参与者,商务内容则选取与“合作”相关的事件。
4.其他数据。使用城市与赤道的距离、时区、降水、温度、实际人均GDP等数据。
五、实证策略
1.城市间的连接(Connections)
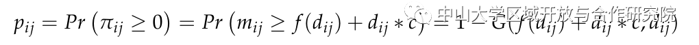
首先考虑城市i和j之间建立至少每周一次的直飞航班的航线联系的概率为:
![]()
其中,为城市i和j联系所能带来的利润,为城市i和j的经济潜力(使用各城市的GDP进行衡量),为城市i和j的距离,c为与距离相关的边际成本。
为在门槛距离6000英里上下的固定成本,其函数如下:

其中,随着波音747-400、空客A30、波音777等飞机的推出,技术提高为长途飞行降低了距离的边际成本c,而。
2.城市对分析(City-Pair Analysis)
为了检验断点有效性,确认6000英里是否为航线联系分布门槛,在城市对()水平上则可以进行断点(RD)回归分析:

其中,为城市i和j之间是否建立航班联系的虚拟变量,若建立航班联系则为1,否则为0;为城市i和j距离是否小于6000英里的虚拟变量,小于6000英里则为1,否则为0;为帮助结果拟合的多项式,为其他控制变量,如机场所处时区、距离赤道距离等。
此外,还估计Reduced form对其他城市对的影响,使用fuzzy RD方法进行工具变量估计。
3.网络单元分析
为了检验航线连接是否影响经济活动,还需要通过构建各地长距离航线联系的指数,研究联系指数是否会对当地的经济活动产生影响。
首先构建6000英里距离的邻域(6000−δ,6000+δ),与城市i相距6000英里且在邻域内的城市连接数量为:

其中,表示与i相距6000英里的在邻域内的城市总数,-为恰好在6000英里以内的城市数量。和为高低航线固定成本下开通航线的概率,。
从式可以得出两个关键要点:第一,i在该范围内的航线数量恰好低于该阈值的城市数量的增函数,这表明6000英里以下的航班会更便宜且更可能盈利;第二,实际连接与6000英里阈值以下的潜在连接数量之间存在联系。随着c的增加,和接近于1,当长途飞行的成本非常高时,这种联系将消失。
而讨论增加联系的潜在影响时,很大程度上取决于与谁联系起来,和一个可以到达更多地方的城市联系,显然更为重要。通过这一点,用城市i和j连接的经济潜力重新进行加权得到:

其中,是与中所有城市的联系相关的总经济潜力,每个城市都由相关的经济潜力加权,标记了连接数量和质量,为经验规范奠定基础。
本文还定义了unweighted instrument:ShareBelow6,作为距离机场i 5500到6000英里的机场数量除以距离机场i 5500到6500英里的机场数量。ShareBelow6则是加权后的,包含了与每个连接的潜力相关的信息,具体来说就是在样本(1989年)开始时使用每个机场的(特征向量)中心来代理每个机场的潜力,并将从机场i开始的5500到6500英里范围内的总和,定义为ShareBelow6。ShareBelow6K指的是在5500到6000英里之间的城市所占的城市份额,也就是5500到6500英里之间的城市总数,将以此作为首选工具。
在控制了5500—6500英里范围内的机场的总网络中心性和区域固定效应后,低于阈值的潜在联系的“lottery”,都在区域内以相对随机的方式分布,这表示该变化是特殊的,而非由世界的特定部分所驱动。
网格范围的经济指标(夜间灯光指数)遵循以下简化形式(reduced-form):
![]()
其中c表示网络单元,i表示同一国家内距离样本中最近的机场,ShareBelow6是工具(instrument)在最近的机场的值。如果连接促进了机场附近地区的经济增长,将为正。所有回归将在向量X中包括5500到6500英里之间的机场总数,根据基线规范中的网络中心度进行加权,以及网络单元c中心到机场i的对数距离,并进行区域固定效应以确保结果不受区域差异所影响,进一步控制人口等变量。
除了经济指标,还使用IV/2SLS的第一阶段的缩放简化形式进行估计,得到与机场i相连接的城市数量(至少每周有航班)和机场i的网络中心度的第一阶段规范为:

而机场周围的经济活动可能受到影响,且在较近距离时受到的影响比较大,故将距离变量加入模型(其中为网格中心到机场i的距离的对数),根据与机场的空间距离来估计缩放形式的影响:
![]()
六、实证分析

首先得出机场间距离对两地建立连接的可能性的影响,确定门槛距离的存在。结果显示距离6000英里以上与6000英里以下的城市相比,每周至少有航班连接的城市间的可能性要低0.3—0.4个百分点。可以得到相距小于6000英里的机场间更可能建立实际的航空联系。并通过改变带宽和增加控制变量的方法,增加进度,结果无明显变化。而从第(8)—(10)列可以看出,联系所带来的影响会随着时间的变化越发显著。随着20世纪80年代末和90年代的技术发展,这种不连续性迅速扩大,并随着时间的推移而进一步确立。
在确定了城市对层面上的不连续性后,将转向机场层面,并用于网络单元分析。换句话说就是,低于临界值的潜在连接份额是否预测了机场i实际可用连接的总数和质量?

最初仅对5500—6500英里范围内的机场总数和区域固定效应进行基线控制。第(1)列显示,截止1989年,没有显著的相关性,而第(2)列,即2014年,机场的潜在连接份额在2014年显著与实际连接数量相关。加入1989年机场特征(初始连接)、时区、1990年人口、1992年的夜间灯光数据等控制变量,结果不变且精度提高,表明即使在区域内,影响也不是由位置特征或初始发展驱动的。


随后作者将因变量换为加权工具ShareBelow6K,即机场的网络中心性,得到类似的结果。在了解机场连接数量和质量的影响后,现在需要知道如何才能从这一特定冲击下转变为广泛的影响,首先来看ShareBelow6K是如何影响6000英里范围内的连接。

第(1)列显示,在5500—6500英里范围内,具有更好潜在连接的地方(略低于阈值)会增加更多连接。第(2)(3)列考虑了2SLS估计的额外连接在该范围内的影响,并发现了正向溢出效应。第(4)(5)(6)列和第(7)(8)(9)列对比,发现溢出效应基本来自2000—5500英里间的短距离范围。总而言之,拥有更多直飞航班会增加与其他机场连接的价值,从而促进进一步连接。

正如上图所示,机场A与机场B连接,不仅提供了前往B的能力,还连接了更多原本就和B有连接的机场(B1,B2,B3)。因此B的连接数量对A的连接意愿有影响。从而使得更远的机场C也愿意与A连接,机场A的地位也增强了。

然后,使用夜间灯光数据来看航空联系对经济活动的影响,首先从简化的结果来看,将夜间灯光与6000英里阈值以下的潜在连接的加权份额联系起来,将总数量和质量控制在该阈值500英里以内。结果显示,第(1)列不显著,表明新飞机的引入所带来的长途连接较近,对经济活动还没有产生影响。第(2)列显示,靠近机场的地方显示出更高水平的经济活动。第(3)列检验第一列和第二列系数之间是否存在差异。结果表明在过去几十年里,这些地区的经济活动增长幅度更大。第(4)列加入了1992夜间灯光数据、1990人口和基线机场特征等控制变量以提高精度,第(5)列加入了国家层面的地理控制和初始GDP。第(6)列重复了第(5)列,使用两阶段最小二乘法规范,缩放简化形式的结果,探究网络中心性对当地经济活动的影响。2SLS显示,机场中心性对经济活跃度及其增长也都有积极影响。
此外,作者用更换不同窗口、使用未加权变量、控制地区效应、选取不同的子样本等多种方法进行了稳健性测试,实证结果依然成立。第(7)(11)列为标准化的结果,结果显示机场的平均网络中心性每增加一个标准差,该段时间内夜间灯光变化增加0.8个标准差。
综上,在靠近机场的地方,由于潜在长途连接的外源性变化,增加了航班,从而增加了经济活动。这表明空中交通对地方一级的经济活动产生了因果影响,但这种影响只适用于那些发展程度足够高、确实可以连接的地方。

而该联系对经济活动的影响究竟有多深远呢?文中考虑简单的线性关系,在夜间灯光数据、ShareBelow6K及其与网格到机场的距离的交互项之间进行简约模型回归。结果表明ShareBelow6K对夜间灯光数据有积极影响,且影响随距离增加而减弱,仅考虑离机场500英里的网格时结果更明显。
增加与某一城市的直接空中联系的数量和质量可以刺激该城市的企业与其他地方的企业联系起来,从而通过提高生产率或获得资本而促进地方一级的经济活动。本文还考虑了航线对商务联系和资本流动的影响。


航线开通有利于运输旅客,从而可能扩大两地的FDI,这可以表现在一个地区中被其他地区公司持有的公司数量上。上图显示了使用ORBIS数据算得的距离在6000英里以内和以外的公司对数量存在明显不连续的情况,选取双方周围100英里内都有机场的子样本或以重要商务事件衡量商务联系。
使用GDELT数据也能得到类似的结果,在两个城市之间建立直接的空中联系,对每个城市的企业之间的联系强度有因果影响。

考察上述商务联系的增加可能是由资本流动造成的,并且考虑两地经济水平差别的影响,因此依据宾夕法尼亚大学世界表统计的所在国购买力平价调整后的人均收入,将机场样本分为较富裕和较贫穷两类,分组进行回归。第(1)—(4)列结果表明,航线连接的影响对较富裕国家在较贫穷国家所拥有的的公司数量的影响更大,2/3的跨国持有联系的资本都是从富余国向贫穷国流动。第(5)(6)列则是根据世界银行收入群体国家分类细分为“高收入”、“中上收入”、“中下收入”、“低收入”,同样得到了流动主要来源于最富于阶层。第(7)(8)列则是关注较小的子样本,即将较富裕国家归类为“高收入”时,情况保持不变。尽管第一阶段相对较弱,但这表明,航空联系对商业联系的影响是一种趋同的力量。然而,当我们把一个国家列为“低收入”时,情况大不相同,第(9)、(10)列表明,潜在联系的有利冲击并不能转化为实际的联系,该类国家对联系并无需求。
总的来说,航线连接对商务联系有显著影响,会增加外国持有公司的数量和两地的商务事件、促进人员和资本流动,长距离航线可以转化为经济动力,而对最贫穷国家来说,尽管有利联系存在,但他们也没有需求。资本流动更多发生在高收入和中等收入国家之间。
七、结论
Filipe Campante 与 David Yanagizawa-drott利用国际航空联系的特点,利用断点回归方法检验了航空联系对经济发展的影响。结果显示,在航空网络内拥有数量多、质量好的航空联系可以带来更多的客流与商业联系,对经济增长具有促进作用,但这种正效应会随着距机场的距离增大而减弱。此外,将视野扩宽到全球资本流动层面,文章发现当其他地区的经济在航空联系帮助下顺利“起飞”的同时,贫穷国家却因缺乏建立航空联系的吸引力而被遗忘在“跑道”上。

本文为全球化与地区发展不平等的相关研究提供了新的视角,对各国制定相关航空措施具有重要参考意义。分享结束后,课题组成员围绕本文相关主题展开了讨论。航空网络对经济发展和对外贸易的影响与课题组部分成员的研究方向联系紧密,本文为“一带一路”国家航空网络研究提供了重要的思路和方向。本次学术研讨会充分体现了研究院浓厚的学术氛围,大家在学术交流中相互学习共同进步,提高自己的学术能力,至此,本次文献研讨会圆满结束。
拟稿:刘姿宜、马帅兵
编辑:陈多多
审核:李兵
审核发布:毛艳华