开放合作研究团队第25期Seminar学习讨论会
2022年2月8日晚19:00-20:30,中山大学区域开放与合作研究院文献研读会议以线上的方式成功举行。本次学习讨论会由柳志强同学分享文献《How Did China's WTO Entry Benefit U.S. Consumers》。参加学习讨论会人员包括毛艳华教授、李兵副教授、副研究员、博士后以及博士生和硕士生等,另有澳门科技大学、澳门城市大学博士生通过线上形式参与了本次学习讨论会。

How Did China's WTO Entry Benefit U.S. Consumers
Mary Amiti, Mi Dai, Robert C. Feenstra, and John Romalis
一、研究背景和问题提出
中国自2001年加入WTO,中国的出口增长尤其迅速。如此快速的增长使得中国“贸易冲击”对其他国家所产生的负面影响受到越来越广泛的关注。如与中国出口相竞争的美国制造业的就业与工资损失,但是却很少有对产品消费者的潜在收益进行分析的研究,无论是家庭还是企业,都能够从更便宜的产品和更多品种的产品中获益。文章就基于此分析中国入世对美国消费者带来的好处。从原则上讲,中国加入WTO后发生的两项截然不同的政策变化可能会推动收益:一个是美国给予中国永久正常贸易关系(PNTR),减少美国对中国出口产品征收高额关税的威胁;第二个是中国降低自己的投入关税。在文章中,作者量化了中国加入WTO如何影响美国的价格、中国和其他国家的公司在美国市场销售制成品的价格,他们发现这些影响的一个重要原因是中国降低了自己的中间投入关税。
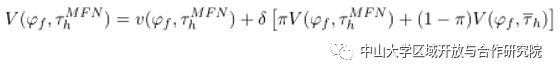
二、理论框架
本文首先构建具有代表性的美国消费者的嵌套CES效用函数,然后结合实际情况得出美国对中国企业产品以及其他国家出口商产品的需求为:

通过Sato-Vartia 指数法分解出其消费产品中来自中国出口产品的价格及其产品增量因素等,具体分解中国对美国的总出口增长如下:

作者以Feenstra(1994)和Broda和Weinstein(2006)的方法为基础,衡量消费者从进口新品种中获得的收益,以衡量进口投入的新品种对生产者成本的降低,效率增益与企业生产率联系起来,得到:

通过构造包含中国企业价格、关税投入的关税函数,由于企业出口商品的数据难以获取,故将海关出口商品HS6编码引入,将出口产品分解为多种产品,进行加权平均。
中国加入WTO后,利用中国海关的企业层面数据和分类进口关税数据,估计了以下进口价值和进口参与方程:

三、数据及研究过程
数据方面,首先是中国海关提供的2000年至2006年期间,年度HS-8位商品编码产品贸易的价值和数量,在估计加入中国加入WTO对进口的影响方面,本文利用中国海关的企业层面数据和分类进口关税数据。另外,在估算全要素生产率方面,本文采用了国家统计局发布的《1998年至2007年工业企业年度调查》(ASIF)中所有制造业企业的数据,包含了企业的产出,材料成本,就业,资本和工资等等。
在上述理论框架下,本文构建了回归方程式来研究下列几个问题:
1、中国加入WTO对中国出口参与的影响
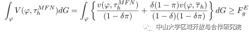
面临最惠国关税的中国企业的现值为:

中国企业面临MFN关税的进入条件为:

中国出口美国参与度的实证:

对应回归结果如下:

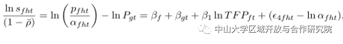
2、中国加入WTO中国出口价格的影响
作者根据Amiti et al.(2016),给出了定价方程:

代入中国企业的对数份额方程来修正质量偏差,得到:

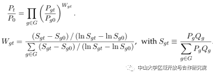
3、中国加入WTO对美国制造业价格指数的影响
美国制成品总体价格指数的变化为:

回归结果如下:


四、结论
在加入世贸组织的六年内,中国对美国的出口额增长了290%,其中大部分增长来自新的出口商,这很有可能对美国物价造成重大影响。在此基础上,对中国加入世贸组织影响美国价格渠道的理论分析表明,中国大幅削减投入关税是如何提高生产率的,从而降低现有出口商的价格,使更多的公司向美国出口。在美国给予中国永久正常贸易关系地位之后,关税不确定性的降低增强了企业进入效应。因此,本文构建并估计了中国贸易的实证模型。通过对模型估计进行汇总,以构建对现有出口商价格变化和仅因加入世贸组织而导致的出口商数量增长的预测。回归分析后发现,中国加入WTO后,美国制造业产品价格指数在此期间下降了7.6%,其中,中国对美国出口有效价格的下降,大约有三分之一来自中国出口商降低价格,而三分之二的有益影响来自中国新出口商的进入,增加了美国产品的多样性。其他国家价格的下降完全可以用中国进口产品关税的降低来解释,而不是通过给予PNTR来解释。
这篇论文首次表明,中国加入世贸组织对美国价格产生影响的关键机制是中国降低自己对中间投入的进口关税。中国降低中间投入品关税不仅直接降低了中国企业的成本,而且增加了中国企业进口中间投入品的价值和范围,提高了中国企业的生产率。更低的边际成本增加了进入美国市场的机会,降低了中国的出口价格,同时文章还研究了在加入WTO后给予永久正常贸易关系是如何影响中国出口的——这一渠道受到了很多关注——并与展示的文献一致,即永久正常贸易关系确实会导致更高的出口进入。但是,文章没有发现PNTR对中国企业TFP或出口价格的影响。通过综合考虑美国国内和其他国家对中国较低价格的反应,得出结论,中国自身关税的降低成为美国福利收益的一个重要来源。
五、讨论
文章分享结束后,研究院成员展开了有关讨论。李兵老师提出该文章贡献在于中国出口产品给美国消费者带来了巨大的收益以及Sato-Vartia 指数法分解价格这一做法值得借鉴。研究院的各位成员也对李兵老师的看法表示赞同。本次学术研讨会充分体现了研究院浓厚的学术氛围,大家在学术交流中相互学习共同进步,提高自己的学术能力,至此,本次文献研讨会圆满结束。
拟稿:史红晨
编辑:陈多多
审核:李兵
审核发布:毛艳华