开放合作研究团队第24期Seminar学习讨论会
2022年1月25日晚19:00-20:00,中山大学区域开放与合作研究院文献研读会议以线上的方式成功举行。本次学习讨论会由叶璐同学分享文献《Can Tax Breaks Beat Geography? Lessons from the French EnterpriseZone Experience》。参加学习讨论会人员包括毛艳华教授、李兵副教授、副研究员、博士后以及博士生和硕士生等,另有澳门科技大学、澳门城市大学博士生通过线上形式参与了本次学习讨论会。

Can Tax Breaks Beat Geography? Lessons from the French EnterpriseZone Experience
Anthony Briant,Miren Lafourcade,Benoît Schmutz

一、引言
自 20 世纪 90 年代初以来,对企业特区(以下简称EZ)的评价产生了大量的研究,但对其有效性得出了相互矛盾的结论。然而,为什么一些项目在某些地方起作用,而其他明显类似的项目在其他地方失败的原因,却很少被研究。作者们认为,这种异质性的一个重要组成部分是城市地理学。城市内目标社区的位置,决定了人们进出这些社区的便利程度,并最终决定了当地劳动力供应的弹性,这对于从 EZ 项目中获益确实很重要。在本文中,作者们使用法国的“Zones FranchesUrbaines”(以下简称 ZFU)作为案例研究,表明这种关系实际存在,并可以通过空间隔离度的客观地形测量进行评估。
二、ZFU方案
ZFU方案始于1996年,是一项名为“城市复兴契约”的大政策的一部分,旨在法国城市贫困地区实现经济复兴。
ZFU由贫困社区的三层分区系统组成:首先是751个城市敏感区(记作ZUS),最初由废弃住房存量和低工作与居民比率的城市社区组成。其中,416个城市振兴区(记作ZRU)成为更仔细的目标。最后,似乎是最贫困的44个社区被宣布为ZFU(记作ZFU1G)。进入ZRU或ZFU的公司可以受益于各种税收减免和其他社会豁免,其中ZFU能够享受的减免比ZFU要高得多。
2004年选择的41个第二批ZFU(简称ZFU 2G)是从未被指定为ZFU 1G的ZRU社区中产生的。然而,Givord,Rathelot, and Sillard (2011)表明ZFU 2G并不总是与最贫困的地区相匹配:他们的平均辍学率低于其他未指定的ZRU,失业率也较低。就市政当局的财政能力而言,他们的境况甚至更好。ZFU 2G的选择几乎是随机的,这使得DID方法特别合理。
2006年又新增加了15个ZFU(简称ZFU 3G)。最终的100个ZFU社区(第一批44个,第二批41个,第三批15个)拥有150万居民(ZRU为290万,ZUS为440万),所有ZFU无一例外都是一个城市地区的一部分。

三、ZFU的地理特征指标
1、可达性(Accessibility):衡量ZFU与各种交通节点的可达性
(1)ZFU边境与交通节点(如公路交叉口或火车站和地铁站)之间的最小距离。
(2)计算ZFU附近的交通节点数量。
(3)测量ZFU在这些节点附近的比例。

图2提供了从作者对法国北部里尔的ZFU的GIS分析中提取的示例。在左侧地图中,红线代表这个ZFU社区的边界、与红线相交的每个圆圈表示距离ZFU不到500米的一个火车站或地铁站。在右侧地图中,灰色区域表示距离地铁站不到 500 米的 ZFU 部分,在作者的示例中其面积占该ZFU的33%。
2、中心性(Centrality):与ZFU的市场潜力相关
ZFU 可以是城市中心的废弃部分,也可以是偏远的郊区,在这个中心性维度上差异很大。为此,作者建立了一系列衡量中心性的指标,基于其与MA内所有其他城市的距离。对于位于MA区域k市的每个ZFU,其公式为:

其中
代表MA区域中的其它市,
是ZFU的质心和k市的质心之间的距离。
3、城市分离度(Urban severance):衡量ZFU与MA区域其他部分的分离程度
第一种指标称为截止指数,其计算了ZFU到MA中每个CBD的障碍数的加权平均,权重为CBD的人口,障碍主要考虑河流、铁路、有两条独立车道的公路、高速公路。
第二种指标称为缓冲指数,其考虑到一个事实,即ZFU的一些边界实际上是沿着主要交通干道,这将它们与聚集的其他部分隔离开来,因为它们不容易被行人穿过。为了解释这些“交通障碍”,作者在位于 ZFU 附近的铁路和道路周围绘制了一个 100米宽的缓冲区,并且在 ZFU 边界周围测量了缓冲区的份额。

图3 描述如何在Evreux(巴黎西部)中的一个ZFU 完成此操作,根据我们的分析,高速公路占了该ZFU边界的46%。
4、数据来源及统计结果
我们使用了由法国国家地理研究所开发的一个名为BD-TOPO的2006版的地形数据库,该数据库以精确的准确性总结了法国领土的所有元素。
ZFU的地理特征指标如表1所示

初试筛选样本:41个ZFU 2G作为实验组,292个ZRU作为对照组
作者使用了比社区更小的单位,称为“lotsRegroupés pour I'Informior Statistique”(简称 IRIS)。地理分配规则是:任何与 ZFU“x”在其面积的 50% 以上相交的 IRIS 将被视为实验组:类似地,在其面积的 50% 以上与 ZRU“y”相交的任何 IRIS 将被视为控制组。
最终确定估计样本:231 个 IRIS作为实验组,932 个IRIS作为控制组。实证的评估时间为2002-2006年,使用的数据库为法国国家经济和统计研究所(简称INSEE)、
(简称DADS)。
2、空间隔离度指标(Global isolation index)的构建
分离指数(Severance index)定义为截止指数和缓冲指数的平均值,确切的说,对于每个
,作者计算所有处理组和控制组的社区在表1面板A中的排名,然后计算这些排名的平均值,得到
。类似的方法在表1面板B中得到
,则
。
可达性指数(Accessibility index):用表1中面板C和面板D的数据,得到
。
中心性指数(Centrality index):指是表1面板E所示的四个市场潜力相关数据的排名的平均值。
空间隔离度指标(Globalisolation index)定义为上述3个指标的平均值

如图4所示,空间隔离度指标近似服从正态分布
3、基本模型
![]()
i是一个位于社区z(i)(ZRU或者ZFU2G)中的一个IRIS;
τ是一个观测年份;
Y是经济变量,如流入企业数量、新创企业数量、工作数量、工作小时数、平均或不同百分比的小时净工资;
是虚拟变量,
在2004年后取1;
衡量平均的处理效应
4、涉及地理异质性的模型
![]()
记作(3)式
g(i)是空间隔离度指标
的分布;
代表IRIS的类型,H指其空间隔离度指数低于中位数值,L指空间隔离度指数高于中位数值。
比较
的值,是评估地理因素对ZFU方案有效性影响的一种方法。
5、交互模型
记作(4)式
进一步地,作者考虑社区固定效应(neighborhood fixed effects),以控制未观察到的地理异质性对结果变量的潜在影响
是空间隔离度指标的标准化值;
是ZRU/ZFU2G层面的固定效应。
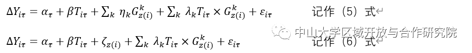
6、增广模型
作者试图同时研究分离性、可达性和中心性的影响,因此作者设计了一个增广模型,其中处理变量与这三个指标相互作用。根据是否在模型中考虑固定效应,得到(5)式和(6)式

五、回归结果
1、基本回归结果

对比面板B和面板C可以得出,更一体化的地方在流入企业数量、新创企业数量、工作岗位数量、工作时间长度的效应都很显著,且其系数也均大于更孤立的地方。这说明只要社区在地理上较为一体化,ZFU方案将显著改善就业情况(增加11.4%的工作岗位数量和8.5%的工作时长)。然而工资是一个关键的意外,如面板B所示,ZFU2G计划使较孤立的社区的工资水平提高了1%,该项目对90百分位工资水平的影响也对地理非常敏感,达到了显著的2.3%。而较为一体化的地方ZFU对工资水平的影响则不显著。这可能是因为人们不太愿意去地理孤立的地方工作,在劳动供给缺乏弹性的情况下,导致工资水平上升。
2、增广模型的回归结果

由表5可以看出,分离性(severance)抑制了ZFU方案对公司流入的效果。分离性使得ZFU方案带来的流入企业增长率减少了5.7%,这意味着ZFU带来的流入企业总效应减少了71%。在可达性(accessibility)方面,呈现出企业流入增长率增加了5.6%,及交通更方便的地方增加了ZFU方案的政策效应。中心性(Centrality)还有助于从税收减免中获得额外收益:社区的市场潜力越高,ZFU项目从零开始创造新企业的效果就越好。从工资角度来看,地区中心性在一定程度上抑制了工资的增长。但与基本回归模型估计的结果相反的是,地区分离性也在一定程度上抑制了工资增长。
3、分行业的回归结果

面板A表明只有这6个行业中只有健康行业的工作小时数显著上升,这可能是因为卫生部门主要包括护士或医生等个体劳动者。它既不是资本密集型产业,也不占用很大的空间。因此,医疗公司对税收激励更加敏感,能够以更低的成本更快地搬迁。面板 B 到 D 表明,实际上,卫生部门的活动更有可能在更一体化的社区中受到ZFU方案的推动。
六、结论
当目标社区在空间上更加一体化时,该计划更有可能创造就业机会,当目标社区在空间上更加孤立时,该计划更有可能增加收入。
考虑到空间隔离所起的关键作用,人们只能承认有必要将基于地方的税收减免和就业激励与涉及交通基础设施和服务的公共投资相结合。
七、讨论
文章分享结束后,研究院成员展开了有关讨论。毛艳华老师和李兵老师均认为法国的ZFU方案对应于发达国家普遍存在的大城市贫民窟问题,这对中国的扶贫项目有借鉴作用,同时随着中国的发展今后也可能遇到类似的问题。研究院的各位成员也此表示赞同。本次学术研讨会充分体现了研究院浓厚的学术氛围,大家在学术交流中相互学习共同进步,提高自己的学术能力,至此,本次文献研讨会圆满结束。
拟稿:罗智文
编辑:陈多多
审核:李兵
审核发布:毛艳华