开放合作研究团队第18期Seminar学习讨论会
2021年10月19日晚18:30-20:45,中山大学区域开放与合作研究院文献研读会议以线上和线下相结合的方式成功举行。本次学习讨论会由柳志强同学分享文献《Borders within Europe》。参加学习讨论会人员包括毛艳华教授、李兵副教授、副研究员、博士后以及博士生和硕士生等,另有澳门科技大学、澳门城市大学博士生通过线上形式参与了本次学习讨论会。

Borders within Europe
Marta A. Santamaría, Jaume Ventura & Uğur Yeşilbayraktar

一、引言
这篇文章主要研究的问题是欧洲市场中的边境效应,作者通过采用因果推断框架,利用新建立的数据集,实证分析了欧洲市场的平均边界效应为17.5%;12个产业的边界效应范围为12.3%至38.9%;在1910年后建立的新边境的边界效应为28.8%,小于平均边界效应,最后作者得出了欧洲远非单一市场的结论。文献综述主要有两个方面,一是对Mccallum(1995)的结果进行方法论的创新,但是文献都是基于引力模型进行分析和探讨,而由于加入边界变量使得引力模型产生异方差等问题,作者将引力模型框架转移到因果推断框架,能够实证分析边界对贸易的因果影响,而且不再依赖于特定的模型;二是超越Mccallum(1995)对美加边界的研究,分析其他边界效应。但是由于数据的缺失使得国内贸易采用地区——地区层面的数据,国际贸易采用地区——国家层面的数据,会使得边界虚拟变量的估计存在向上的偏差。因此,作者构建一个新的贸易数据集,能够进行地区——地区之间的比较,首次提供了欧洲区域贸易的综合视角。
二、实证检验
1.新数据集的建立
文章采用的数据是来自欧洲统计局的欧洲公路货运调查,这项调查数据记录了每年横跨欧洲大约300万公路货运商品,并且该调查覆盖24个国家269个地区12个行业2011-2017年的数据。
新数据集的优点:提供地方的贸易数据;数据从实际发运人的分层样本中收集而来的,而不是从不同的汇总数据中推断而来的。
文章从三个方面来限制样本:1、抛弃具有分销旅程的商品;2、限制产业的数量:(1)产业必须与贸易相关;(2)必须把公路运输作为主要的运输方式;3、抛弃远离欧洲大陆的地区以保障公路运输在各地区中是具有代表性的。
1.1 贸易重量
数据记录了各地区之间贸易的运输量,因此作者构建了84个矩阵


1.2 贸易价值
由于调查数据没有包括贸易价格,作者采用回归插补的方法填补单位价格。回归模型和结果如下:

R-squared>0.5,所以收集的数据能够解释没有确实数据子样本中的价格变化的很大一部分,同时作者还进行了两套检查以确保价格估算的合理性。同贸易重量一致,作者构建了贸易价值的矩阵:


2.因果推断框架
文章在Imbens和Rubin(2015)年的论文框架之下进行分析。

首先对市场份额进行标准化,这样可以避免受到初始地和目的地贸易规模的影响。如果市场m对n地区有一个平均的重要性,那么=1。如果市场m对地区n超过(低于)平均重要性,那么>1(<1)
让{0,1}作为一个虚拟变量,如果地区对中的地区属于不同地区取1,否则取0。

式(3)定义了边界效应。
![]()
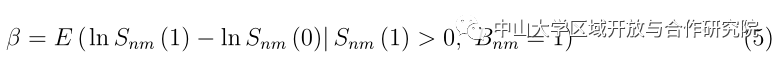
式(5)定义了平均边界效应。
在因果推断框架下,需要控制地理协变量以得到边界对贸易的无偏估计,因为地理先于边界并导致边界。但是,作者提出不能在控制地理协变量的前提下简单比较国内贸易和国际贸易,因为会存在两种选择偏差,它们会使得观察到的边界效应小于实际的平均边界效应。

对于第一种选择偏差,作者在模型中控制了边界数量:边界数量多的地区市场份额越大;对于第二种选择偏差,由于只参与国内贸易不参与国际贸易的地区占比很小,因此可以忽略不记。
![]()
式(11)是估计平均边界效应的模型,其中是边界数量的对数。作者运用分块估计的方法,将有边界概率相似的地区放在一个区块,最终得到9个区块。

三、实证结果

表(8)就得出了平均边界效应为=17.5%,在没有控制边界数量的情况下,平均边界效应确实被低估了。

表(10)展示了12个产业的边界效应,作者得出对于差异更大或转化程度更高的商品,边界效应会更大。

表(12)展示了在1910年后新建立边境的边界效应为28.3%,小于平均边界效应,但是任何仍然很大。
四、结论
欧洲市场的平均边界效应为17.5%;12个产业的边界效应范围为12.3%至38.9%;在1910年后建立的新边境的边界效应为28.8%,小于平均边界效应,最后作者得出了欧洲远非单一市场的结论。
五、会后讨论

分享结束各位老师和同学针对论文内容展开了热情的讨论。李兵老师该文对研究中国各省边界对于市场分割的影响有很好的借鉴意义。但缺乏省内城市之间与跨省贸易的详细数据,目前已有研究有采用各省双边投入产出数据来进行研究的,但其边界效应很难用该数据进行估算。毛艳华老师认为是否可以考虑利用快递包裹的相关数据进行代替具体贸易数据进行国内的相关研究,其中也包括城市间贸易的交货量和产品信息等;其次可以将该文的研究方法和跨境数据结合,进行“一带一路”的相关研究。
文章分享结束后,叶璐博士生进行了研究进展的汇报,老师们针对其问题给予了建议和点评。本次学术研讨会充分体现了研究院浓厚的学术氛围,大家在学术交流中相互学习共同进步,提高自己的学术能力,至此,本次文献研讨会圆满结束。
拟稿:柳志强、马帅兵
编辑:陈多多
审核:李兵
审核发布:毛艳华