开放合作研究团队第13期Seminar学习讨论会
2021年9月14日晚18:40-20:50,中山大学区域开放与合作研究院文献研读会议以线上线下结合的方式成功举行。本次学习讨论会由刘坤原同学分享文献。参加学习讨论会人员包括毛艳华教授、李兵副教授、副研究员、博士后以及博士生和硕士生等,另有澳门科技大学、澳门城市大学博士生通过线上形式参与了本次学习讨论会。

The Production Relocation and Price Effects of US Trade Policy: The Case of Washing Machines
By Aaron Flaaen, Ali Hortaçsu, and Felix Tintelnot

一、引言
本文估计了美国进口限制对洗衣机的价格影响。在2012年和2016年对韩国和中国征收反倾销税的同时,价格出现了下调或小幅波动,同时生产转移到了其他出口平台国家。 加上2018年的关税,几乎所有来源国的洗衣机价格都上涨了近12%。 有趣的是,这种不受关税限制的干衣机的价格也出现了同样幅度的增长。 将干衣机价格和国内品牌价格上涨因素考虑在内,2018年洗衣机关税意味着消费者价格的关税弹性超过1。
二、研究背景
2018年美国对一系列主要来自中国的商品征收一系列关税,使用了一系列几乎没有先例的贸易政策措施。 这些关税对贸易流动、价格和生产的经济影响极不确定,因为对于一个融入全球经济的发达国家来说,这些关税变化的幅度非同寻常。一方面,全球价值链中生产份额的增加以及某一国家出口品增值份额的相应下降导致关税变得更具惩罚性,因为关税是对进口商品的总值征收的。另一方面,鉴于跨国公司在全球生产中的主导地位,跨国生产转移可能比以往任何时候都更容易,从而抵消关税的影响。
贸易政策在一体化的全球经济中如何发挥作用存在诸多不确定性,与之相对的是国际贸易理论中长期存在的问题,几乎没有或存在着相互矛盾的经验证据。 其中一个问题是关税的税务负担:进口关税的金额是否以更高的价格的形式转嫁给消费者或通过降低出口价格被外国生产商吸收。
1.第一轮贸易政策:反倾销税
首先针对墨西哥和韩国。2011年12月,惠而浦向美国国际贸易委员会(USITC)提交反倾销申请,声称从墨西哥和韩国进口的大型家用洗衣机在美国以低于公允价值的价格出售,美国工业正“因此受到实质性损害或受到实质性损害的威胁”;2012年2月,USTIC发布裁决建议采取反倾销措施;2012年7月,美国商务部宣布了从9.3%到82.4%不等的特定商品进口关税;洗衣机生产从韩国转移到了中国。其次是针对中国。2015年12月,惠而浦向USITC提交了针对中国生产的进口洗衣机的反倾销申请;2016年2月,USITC作出裁决,商务部最终反倾销税从32.1%(LG)到52.1%(三星)不等;本次贸易政策导致洗衣机生产从中国转移到泰国和越南。
2.第二轮贸易政策:保障关税
2017年5月,惠而浦申请对大型家用洗衣机进行全球保障调查。2018年1月,以总统公告的形式公布关税配额:对进入美国的前120万进口单位(每年)征收20%的关税,随后所有单位征收50%的关税;本轮贸易政策导致洗衣机生产从泰国和越南转移到美国。
三、数据来源
针对该现象要正确识别美国洗衣机关税对消费者价格的影响,就需要获得关于最终销售点价格的数据,这些数据既要频繁,又要包括品牌、特性和零售商的详细信息,所以本文选取来自零售店的详细的高频微观数据来研究这些关税对消费者的影响。首先是Gap Intelligence。该公司收集美国各种产品和市场的数据。 原始数据集包含2013年3月至2018年12月洗衣机、干衣机、炉灶、洗碗机和冰箱五种主要家用电器零售商的净价和产品特征(品牌、型号、首次在市场上出现的日期以及容量、颜色、负载类型和能效等级等各种其他产品特征)的每周数据条目。其次是Traqline Market Research提供2010年到2018年的年度品牌级市场份额数据。
四、模型分析
1.对洗衣机和干衣机的特征价格分析
作为记录洗衣机和干衣机价格趋势的第一步,首先过滤掉由产品组合、产品特性和产品生命周期时间线的变化引起的价格变化

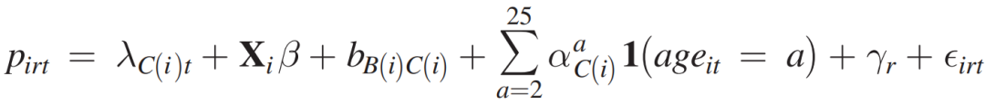
其中i代表型号,r代表零售商,t代表时间(以周为单位),C(i)指代产品类别,B(i)代表品牌,Xi包含总容量、能耗等级、智能设备和负载类型等特征,λC(i)t代表产品类别每周的固定效应,bB(i)C(i) 代表品牌和产品类别每周的固定效应,γr 代表零售商的固定效应,ageit代表以月为单位衡量的产品寿命。

图中绘制了λC(i)t的固定效应。红线显示洗衣机的周固定效应,蓝线显示干衣机的周固定效应(再次平均至其月水平)。这些固定效应总结了在控制生命周期因素和产品/品牌特征后这些时期的平均(对数)价格水平。干衣机的价格上涨幅度与洗衣机相当,尽管在此期间不受关税直接影响。
2.对洗衣机进口限制的价格效应估计
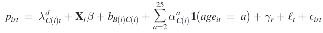
由于样本长度不足以评估首次反倾销税(针对墨西哥和韩国进口产品),所以分别评估2016年中国反倾销税和2018年保障措施关税的影响。基于国家安全的考虑,美国使用了很少被引用的“232条款”贸易补救措施,在2018年3月对钢铁征收25%的关税,对铝征收10%的关税。 然而,这些措施的结果是,美国国内钢铁和铝的价格出现飙升——这两种产品加起来构成了美国洗衣机生产的投入成本飙升。因为所有电器都受到这些投入成本变化的类似影响,所以隔离洗衣机关税的特定影响。 就钢材含量而言,最接近洗衣机和干衣机的产品类别为炉灶;因此选择炉灶作为对照组。

其中代表产品类别周固定效应相对于炉灶的周固定效应,包含通常影响所有家用电器的价格冲击,如钢铁价格的变化。

面板A反映了2016年中国反倾销税之前和之后的洗衣机、干衣机、冰箱和洗碗机类别的的估计值。 面板B报告了第201条保障关税的同等估计。 作者将冰箱和洗碗机纳入分析,以检验估计的合理性。 虽然洗衣机和干衣机的模式在B图中特别引人注目,但本文报告了在政策日期前48周的估计,以说明这些估计中任何趋势前期的影响。 例如,从2016年7月前后的幅度来看,冰箱价格的增长似乎存在差异;在很长一段时间里,洗衣机价格下跌的幅度超过了干衣机和其他电器。尽管图中明显的模式提供了信息,但必须考虑不同的趋势,以得出关税变化对价格的真实影响,由此计算了相对于进口限制前价格变化的进口限制后的估计价格变化。具体来说,将关税/反倾销事件的四个月影响计算为

和类似的8个月效应,其中使用相对于保障关税日期的前44至36周和后28至36周来定义结束点。

相比之下,与图5中B部分的初步证据一致,201条款保障关税的估计价格影响要显著得多。我们发现,在这些关税实施后的四到八个月内,洗衣机的价格会上涨11%左右。如上所述,同样引人注目的是烘干机的相对价格估计,它上升了一个相等的数额。在这种情况下,与替代规范相关的估计基本上不变。
价格对干衣机的影响最初令人困惑,因为这些设备在此期间没有受到任何新的关税。住宅洗衣机通常与干衣机一起出售(通常是成对出售)。实际上,201调查的受访者提出的一个突出的反驳论点是,成对的洗衣机和干衣机通常以基本相同的价格出售;干衣机的生产成本要低得多,因此仅考虑洗衣机的利润就可能低估这些公司预期在洗衣设备市场整体上获得的整体利润。

通过表中数据可以看出,为什么尽管被排除在关税的额外成本之外,国内品牌的价格增长依然与国外品牌一致? 一种可能性是,国内品牌正在扩大市场份额,边际成本不断上升(这是大多数本科教科书中关于关税分析的标准论点)。 为了考虑这种可能性,使用了来自Traqline的年度品牌级市场份额数据。 受中国反倾销及保障关税影响,惠而浦及美泰克的品牌市场份额于2017年及2018年大致稳定,甚至略有下降。 此外,观察到的2017年和2018年之间的市场份额差异与表2中报告的相对价格的估计变化非常一致。价格涨幅最低的公司(G.E.)在2017年至2018年间的市场份额增幅最大。来自家用电器制造商协会(AHAM)的年度装运数据表明,洗衣机和干衣机的总销售额在此期间下降了3%。
第201条保障条款还包括对洗衣机零部件征收新关税。 这可能会提高国内生产成本,进而影响洗衣机的零售价格。 进一步检查发现,零件的有效税率在201条款关税后几乎没有变化,这与该条款一致,该条款是一项有针对性的措施,旨在防止外国公司进口电磁装配件,以绕过完全装配机器的关税。
鉴于这些结果,一个更合理的解释是,国内品牌正在利用他们的市场力量来提高价格。 事实上,正如Pierce(2011)针对更广泛的行业所做的研究所示,免受反倾销税保护的国内工厂往往表现出价格和加价的上升。
五、稳定性检验


本文的结果对这些替代假设是稳健的。 集中于有关保障关税的结果,可以看到价格变化的最小估计来自样本,包括所有品牌和零售商,洗衣机和干衣机的8个月价格增长估计为8%。 本文对价格变化的最大估计来自仅限于实体店的加权样本,洗衣机和干衣机八个月的价格涨幅估计为13%。
六、消费者价格的关税弹性
通过分别测量总价格和关税变化,同时使用滞后进口权重来反映企业面临的有效关税负担,得到关税的间接价格效应。这个方式能够更好地产品类别定位,以评估更广泛的产品类别是否经历价格变化。公式如下,

如果受关税影响的选定国家的进口价格随关税变化而按比例上升,而其他国家的商品价格不变,则TECP的值为1,表明关税完全转嫁给消费者;如果公司将其进口地点改为其他国家,价格上涨幅度不超过关税变化,而国内竞争对手不改变价格,TECP将少于1;如果不受关税影响的竞争对手自己也提高价格,TECP可能比1更大。
七、结论
本文发现互补商品使价格的关税弹性的计量复杂化,因为尽管不受新关税的影响,干衣机价格在2018年显著上升。 商品之间的互补性产生的溢出效应可以更广泛地发挥作用,因为互补商品(床垫和弹簧盒;桌子和椅子;打印机和墨盒;以及视频游戏控制台、游戏和附件)是常见且广泛的。 由于公司对这些商品的定价模型(例如捆绑销售、订购计划),特定商品的关税政策可能导致不受关税影响的其他产品的意外价格变化。
. 第二,生产转移在关税向价格传递的程度上起着很大的作用。 在两次反倾销税之后,生产和贸易出现了巨大的变化,这意味着关税最终没有适用于很大一部分进口产品。2016年中国征收反倾销税后,零售价格仅小幅上涨;在2012年韩国/墨西哥反倾销税之后,进口价格甚至下降了。 但什么样的条件决定了生产是否会随着贸易政策的变化而转移? 任何应对措施都必然依赖于特定公司和政策的特质,但洗衣机的使用经验可以提供几种有用的方法。 首先,资本的产品特性和现有生产网络的结构似乎发挥了重要作用。 在从韩国到中国以及从中国到泰国/越南的转型期间,LG和三星均利用目的地国先前用于其他产品的现有工厂来调整洗衣机生产,同时保持流向其大型市场的总体贸易流量大致不变。 相比之下,在保障关税之后将生产转移到美国花费的时间相对较长,因为这两家公司都开设了新的设施。 搬迁是否发生以及何时发生也可能取决于进口税的规模、实施的时间以及对搬迁将持续多长时间的预期。
.第三,国内生产商在全球保障关税之后的提价幅度与进口商相似。

分享结束后,与会的老师和同学围绕本文进行了热烈的讨论。
李兵老师认为反倾销税和保障性关税有所区别,反倾销税针对特定国家,而保障性关税针对所有国家,这也是16年和18年两次政策冲击造成不同结果的重要原因。在数据来源问题上,本文的分享者刘坤原同学介绍到本文主要采用了两种数据,时间跨度分别为2013-2018年和2010-2018年,但两种数据都没有包含进口信息,只能从品牌来看是否为进口产品。李兵老师认为可以利用海关数据来对此进行改善,从中国方面进一步补充文章的结果。本文对跨国公司通过生产转移规避反倾销带来的损失这一现象提供了实证方面的支撑,但若要进行类似研究,卓乘风博士后认为还需要找到更加巧妙的切入点,将其与中国现实问题结合起来,丰富其研究意义。
本次学术研讨会充分体现了研究院浓厚的学术氛围,大家在学术交流中相互学习共同进步,提高自己的学术能力,至此,本次文献研讨会圆满结束。
拟稿:刘坤原、马帅兵
编辑:陈多多
审核:李兵
审核发布:毛艳华