开放合作研究团队第17期Seminar学习讨论会
2021年11月2日晚18:30-20:45,中山大学区域开放与合作研究院文献研读会议以线上和线下相结合的方式成功举行。本次学习讨论会由博士生邱雪情同学分享文献《Technology-induced trade shocks? Evidence from broadband expansionin France》。参加学习讨论会人员包括毛艳华教授、李兵副教授、副研究员、博士后以及博士生和硕士生等,另有澳门科技大学、澳门城市大学博士生通过线上形式参与了本次学习讨论会。

Technology-induced trade shocks? Evidence from broadband expansionin France
Clément Malgouyres&Thierry Mayer&Clément Mazet-Sonilhac

一、引言
文章基于1997-2007年间法国交错推行的互联网宽带技术来识别识别其对企业进口行为的因果效应,并建立了一个理论模型量化了宽带技术对消费者福利的影响。文献综述主要有三个方面,一是贸易与技术变革,二是贸易冲击,三是国际采购、企业绩效与消费者福利。现有研究的不足体现在实证研究缺乏、研究期限较短、研究层面局限于国家或宏观层面,其主要难点在于企业层面技术变革的数据可得性。本文借助于ICT交错推出这一事实,使用一种透明的事件研究设计并构建一个理论框架,研究贸易与技术的因果效应及消费者福利的变化,其贡献体现在,丰富了贸易和技术变革之间的因果效应的研究。
二、实证检验
1、机制背景
ADSL技术(非对称数字用户线)是一种数据通信技术,该技术的可得性取决于终端客户和本地交换(LEs)之间的距离,因此本地LEs的升级成为本文实证分析的来源。ADSL在法国推出是循序渐进、交错进行的,这一过程源于法国电信投资的不确定性能力以及政府的推动。
2、数据
(1)宽带技术数据
文章结合以下两个数据集,构建i市覆盖面积的时间加权百分比Zit:每个本地交换机(LE)在法国大陆升级到ADSL的日期,给定某一LE所覆盖的人口普查区的面积。

图1记录了法国陆续推出ADSL的过程,深色区域代表宽带技术覆盖程度高。2001年仅有少部分城市被覆盖,2007年大部分城市都已被覆盖。

(2)贸易和就业数据
企业层面贸易数据:企业层面的贸易数据由海关产生,并汇编了考虑期间(1997-2007年)每个企业-国家产品组合的进出口价值和数量。
企业层面的就业和地理数据:管理数据集DAD来自企业的社会保障记录。在1997-2007年期间,对于每个至少有一名员工的企业,它提供了工人人数、总体工资账单和所在城市。
城市层面的协变量。人口、受过大学教育的工人比例、劳动力等来自1999年城市人口普查文件,由法国统计研究所(INSEE)在其网站上提供。其他协变量(家庭数量和总体税收收入)来自城市层面的税务机关档案。
(3)资产负债表数据
法国公司级的资产负债表来自BRN数据集,使用这个数据集来计算公司层面的绩效度量(销售、增值)以及相对进口 (进口与销售的比率)。
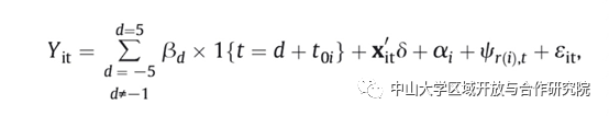
3、实证模型
主要估计方程如下,每个城市的处理组年份用t0表示,我们用d表示处理组时间,样本期间为1997-2007年。

结果如图所示,蓝色虚线报告的结果是固定忽略了控制变量和固定效应后的结果,结果显示在事件发生之前趋势平坦,事件发生后个打破趋势此时d = 5的系数为0.156,表明ADSL的接入五年后使城市级进口量增加了约16%。黑色线表示考虑了人口密度后,气对进口量的影响变强,系数为0.249。以浅灰色线显示的系数来自第三次回归,其控制了人口、收入以及教育水平(大学教育比例)等控,红色线是基于基准回归的半动态范式,其结果均接近于基准回归结果。

三、异质性检验
文章检验了技术对进口强度和企业业绩的影响,结果发现,技术冲击对进口-销售比率、进口-总投入比率均有显著促进作用;对制造业生产率有显著促进作用,非制造业则不显著;对出口量、出口-销售比率有显著促进作用。
Import-intensity


Firmperformance 1: Domestic sales and value-added


Firmperformance 1: Productivity

Firmperformance 2: Exports


进一步的,实证检验结果发现技术对贸易的影响存在企业异质性,尤其是对制造业、零售业、低生产率和中小规模企业的积极影响更加显著。
Heterogeneitydepending on sector and firm size and productivity

The role ofinformation: heterogeneity based on origin and products characteristics

‘
四、消费者福利分析
1、生产端
目的:消费者剩余的增加可归因于宽带如何增加进口渗透。
机制:宽带可以直接影响TFP,通过技术偏向的技术变化降低劳动力的有效价格,降低进口价格。


2、需求端

3、结果

五、结论
宽带互联网对消费者福利具有2.22%的积极影响,其中通过降低进口价格增加消费者福利的比重为0.75%,占总效应的33%。
六、会后讨论

分享结束各位老师和同学针对论文内容展开了热情的讨论。李兵老师建议之后分享的同学在分享时要注重对数据结构的把握。另外他认为该文使用的数据获取难度适中,中国层级的应该也都可以搜集到,而且国内研究技术冲击通过进出口进而影响消费者福利的文献可能比较少见,可以考虑参考该文章在中国层面上进行研究。但问题在于有关价格数据的获取可能会较为困难,要再考虑一下如何获得。除此之外中国工业企数据库里仅有“有无主页”及“有无邮箱”两项作为企业接入互联网的指标,而如今再使用该指标则会面临缺少对照组的问题。
毛艳华老师认为最近十来年企业十分重视数字技术的投入,可以查找一下各企业有没有每年数字化投入的具体数据,包括数字化转型投入占销售收入的比例或者净值等,将其作为企业数字化程度指标进行分析。企业数字化转型对进出口贸易的影响是很重要的研究课题,应该持续关注。
文章分享结束后,分别由团队成员硕士生黎航、屈冠奕和李子文博士进行了研究进展的汇报,老师们针对各自的问题给予了建议和点评。本次学术研讨会充分体现了研究院浓厚的学术氛围,大家在学术交流中相互学习共同进步,提高自己的学术能力,至此,本次文献研讨会圆满结束。
拟稿:邱雪情、马帅兵
编辑:陈多多
审核:李兵
审核发布:毛艳华