开放合作研究团队第89期Seminar学习讨论会
2025年9月24日晚19:00-20:00,中山大学区域开放与合作研究院文献研读会议以线下的方式成功举行。本次学习讨论会由博士生钟夏洋同学分享文献《因地制宜建设美丽中国:长江流域治理的经济效应》。参加学习讨论会人员包括博士生和硕士生等。


因地制宜建设美丽中国:长江流域治理的经济效应
陈诗一 孙沁竹 乔 慧
一、问题的提出
1.研究背景
长江流域作为中国的“黄金水道”,其战略地位毋庸置疑。文章引用2024年数据指出,长江经济带省市的GDP占全国比重高达47.0%,人口占43.2%,其发展质量直接关系到国家整体经济健康和生态安全。推动长江经济带高质量发展,因此成为近十多年来中国生态治理的核心议题,具有深远的国家战略意义。2016年《长江经济带发展规划纲要》提出“生态优先、绿色发展”核心理念。长江经济带覆盖11省市,GDP占全国47%,人口占43.2%,是经济与生态关键区域。党的二十届三中全会强调“分区域、差异化、精准管控”生态环境治理方向。
作者指出了现有研究的空白与本文的创新点。首先,既有经济学文献多关注“十二五”及更早时期的流域治理问题。例如,Chen et al. (2018) 发现“十一五”时期存在污染产业从下游向上游转移的“污染避难所”效应。然而,随着时间推移与政策科学性的不断提升,这种模式是否已经改变?本文以 2016年《长江经济带发展规划纲要》 这一新时代的纲领性文件为研究对象,旨在对既有文献进行时效性的更新与补充。其次,多数研究关注政策对各地的“平均影响”,而忽视了覆盖广阔地域的政策在具体实施中必然存在的 “区域性差异化” 。本文的核心任务是系统性地揭示并验证长江上下游地区在生态治理路径及其经济效应上的差异性。
2.研究意义
第一,聚焦2016年后新时代治理模式,弥补现有研究对“十二五”及以前的聚焦局限。
第二,揭示上下游差异化治理路径与经济效应,为“因地制宜”提供实证支持;本研究揭示了中国绿色发展政策在各地区实践过程中的差异化特征。
第三,为美丽中国建设、流域治理与区域协调发展提供理论依据与实践参考。
二、理论框架与研究假设
1.政策背景


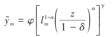
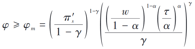
2.理论模型构建
借鉴Hopenhayn (1992)、Shapiro and Walker (2018)等,构建两部门(制造业与非制造业)企业决策模型。
第一阶段,企业主选择进入制造业部门m和非制造业部门s。
第二阶段,企业在各自部门生产,进入制造业的企业由于会产生污染,因此开展绿色创新决策。
(1) 企业生产和创新决策
在没有绿色创新的情况下,制造业部门企业生产决策:

制造业部门企业利润最大化问题:

在有绿色创新的情况下,制造业部门企业生产决策:

制造业部门企业利润最大化问题:



非制造业部门企业生产决策:

非制造业部门企业利润函数:

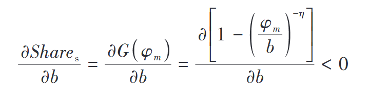
(2) 企业进入决策



(3) 加总和假说提出



H1:环境治理力度提升将降低地区污染水平,推动地区生态环境改善。


H2:长江上游地区制造业平均生产率水平较低,在生态环境治理下污染源进入减少,更多企业进入非污染性部门,从而实现生态改善;长江下游地区制造业平均生产率水平较高,在生态环境治理下更加倾向于通过绿色创新促进技术升级的方式,驱动生态改善。
三、数据与方法
1.数据来源
环境数据: 生态环境部水质监测站周度数据(2012–2018),含溶解氧、化学需氧量(COD)、氨氮;经济数据: 《中国城市统计年鉴》、专利数据、企业注册数据、旅游数据等;控制变量: GDP、人口、互联网用户、大学生数、存款余额等。
2.实证策略:双重差分法
![]()
处理组:长江经济带11省市;对照组:8个相邻省份(广西、青海、甘肃等);异质性分析:处理组分为上游(武汉及以上)和下游。
![]()
四、实证结果
1.基准回归结果
基准回归结果(表1)表明,《规划纲要》实施后,长江经济带地区的化学需氧量(COD)浓度显著下降,降幅约20%,证明政策在平均意义上取得了积极的生态改善成效(验证假设1)。当区分上下游后(表2),发现上游地区的改善主要体现在COD上,而下游地区则在溶解氧、COD和氨氮多项指标上均有显著改善,暗示了下游的治理可能更为全面和深入。


2.平行趋势检验
文章通过了严格的平行趋势检验(图5、图6),证实政策实施前,处理组与对照组的变化趋势无显著差异,满足了DID方法的核心前提。此外,作者还进行了一系列稳健性检验,包括更换水质指标度量方式、扩大对照组范围、控制“营改增”等混淆政策、排除空间溢出效应等,结果均保持稳健,增强了研究结论的可信度。

3.部分稳健性检验
首先,采用各类污染物指标的标准限值作为水体质量的变量定义。附表2 Panel A 展示了以各项水质指标超标天数的比例为被解释变量的回归结果。结果表明:在《规划纲要》实施后,长江流域地区的溶解氧、化学需氧量、氨氮指标超标天数比例均显著下降,且这一效果在长江上游与下游地区均显著。
其次,本文将双重差分方法的对照组由相邻省(区)内的监测站样本扩大为全部 非长江经济带地区监测站样本,附表2 Panel B 展示了这一部分回归结果。在扩大对照组后的回归估计与基准结果类似;而 对于溶解氧和氨氮指标,结果不显著,这一发现说明在其他流域地区存在潜在的混淆 水质治理政策,也说明以相邻省份作为对照组具有更强合理性。

4.差异化治理路径验证
绿色创新(下游):
结果显示,《规划纲要》对绿色创新的促进作用完全由下游地区驱动。下游城市的绿色发明专利数量和人均数量均显著增长,而上游地区则无显著变化。这表明下游地区正如理论预测,走上了以技术创新减排的路径。

污染企业进入控制(上游):
污染企业进入: 与早期研究的“污染转移”结论截然不同,本文发现高污染行业企业进入数量的下降主要集中在长江上游地区,且幅度巨大。下游地区虽然也略有下降,但在统计上不显著或显著性较弱。这有力地证明了新时期的上游地区并未被动承接污染产业,而是主动从源头进行控制。
生态产业发展(以旅游业为例): 数据显示,上游地区的旅游收入和旅游人次在政策后出现了显著且大幅的增长,效应远大于下游地区。这表明上游地区在拒绝污染产业的同时,成功地将发展重心转向了依托本地生态优势的非污染性产业,实现了“绿水青山”向“金山银山”的转化。


5.经济效应分析
(1)产业结构转型
长江上游地区: 呈现出典型的 “退二进三” 转型特征。第二产业GDP及其增长率显著下降,而第三产业GDP及其增长率显著上升。这与该地区“抑制污染工业、发展生态服务业”的治理路径完全吻合。
长江下游地区: 则表现出 “工业优化升级” 的特征。其第二产业GDP的总量和增长率均显著提升,同时第三产业也保持了增长。这表明下游的绿色创新并未导致“产业空心化”,而是推动了工业部门自身向更高质量和更低污染的方向发展。

(2)经济可持续性
尽管上下游的路径和产业结构转型方向迥异,但两者都实现了财政状况的改善。无论是上游还是下游地区,其财政收入和财政收支比均在生态治理后显著提升。
这一发现具有极强的政策含义:反驳了“环保阻碍经济发展”的片面观点,证明有效的环境治理可以与经济发展形成良性循环。它表明因地制宜的路径选择是经济上可持续的。上游地区通过发展生态产业同样可以拓宽税基,改善财政;下游地区则通过产业升级增强了经济活力。文章特别指出,上游地区的财政改善并非依赖于上级转移支付,而是具有内生的可持续性,这进一步强化了其发展路径的合理性。

六、结论与政策启示
本文的结论高度呼应了“因地制宜”的核心思想。在新时期长江流域治理政策下,上下游地区基于各自的比较优势(上游是生态资源,下游是技术与资本),形成了截然不同但同样有效的生态治理与经济发展模式,并最终“殊途同归”,实现了环境与经济的双赢。
基于此,文章提出了三大具有深远意义的政策启示:
1.坚定绿色发展导向: 长江经济带的成功实践证明,生态优先、绿色发展不仅是环境诉求,更是高质量发展的内在要求。这一理念应成为所有流域地区发展的基本遵循。
2. 大力发展绿色新动能: 一方面,要鼓励传统工业通过绿色技术创新实现“存量升级”;另一方面,要积极培育壮大生态旅游、绿色服务业等“增量产业”,将其打造为新的经济增长极。
3. 强化因地制宜与精准施策: 这是本文最核心的政策建议。决策者必须认识到“一刀切”政策的局限性。对于生态敏感但制造业基础较弱的上游地区,应支持其发展生态产品价值实现机制;对于经济基础雄厚、技术领先的下游地区,则应激励其进行绿色技术攻关和产业升级。唯有如此,才能在保护“绿水青山”的同时,收获“金山银山”,稳步推进美丽中国建设。
赵毛泽同学指出文章理论模型假设设置问题。钟夏洋同学回应模型假设不影响最终结论。随后,会议圆满结束。
七、会后讨论
赵毛泽同学指出文章理论模型假设设置问题。钟夏洋同学回应模型假设不影响最终结论。随后,会议圆满结束。
拟稿:钟夏洋
编辑:陈倩怡
审核发布:毛艳华