开放合作研究团队第9期Seminar学习讨论会
2021年7月13日晚19:00-20:40,中山大学区域开放与合作研究院文献研读会议以线上方式成功举行。本次学习讨论会由叶璐博士分享文献。参加学习讨论会人员包括毛艳华教授、李兵副教授、副研究员、博士后以及博士生和硕士生等,另有澳门科技大学、澳门城市大学博士生通过线上形式参与了本次学习讨论会。

Why Special Economic Zones? Using Trade Policy to Discriminate across Importers
Matthew Grant

一、关于经济特区的事实
(一)什么是经济特区
在最广泛的定义中,经济特区是在一个国家的海关边境外,位于一个国家的主权领土上,企业获得国家许可才可以建立的地区。Boyenge(2007)提到3/4的国家拥有经济特区。经济特区通常被认为是一个发展中国家的现象,事实上经常被提倡为重要的发展政策。
(二)美国经济特区的特征
所有美国经济特区的许可是公共信息,能够很方便的查阅。美国经济特区不是以地点为基础的,这样的能让我们在政策上厘清关税和来自于相同地点的其他政策。美国经济特区61%用于制造业,其余是用于仓储和运输。获得许可的过程是一个“游说”的过程。
二、理论模型
一般认为关税取决于产品,而不是进口商的身份。然而,经济特区是常见的、经济上重要的政策,被用来选择商品选择制造商来降低关税。作者展示了政策制定者的动机,当征税时想要区别对待不同的买家,通过一种明显的机制从现有的最优税收理论。
(一)简单的局部均衡框架

统一关税,生产者剩余并不会直接通过进口来影响均衡,它取决于通过国内的市场出清。

在关税其实的时候,D1没有关税,D2有关税,那么生产者剩余的面积是相同的,但是关税收入(方形1)是小于消费者剩余(梯形2)的。
(二)最优统一关税
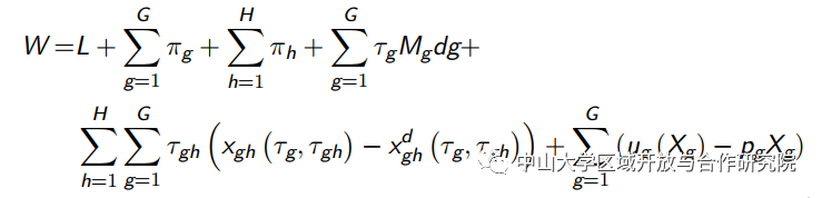
以Grossman和Helpmen(1994)为基础进行扩展,增加中间品和最终品从而获得最优统一关税的基础理论模型。其中政府目标函数的后两项是政府获得厂商“游说”的收益。社会福利函数与Grossman和Helpmen(1994)的文章一致。

通过FOC可以获得最优统一关税模型的结果,与Grossman和Helpmen(1994)的FOC结果相比,(6)增加了最终品关税和中间品进口的交叉弹性。(7)增加了最终品政策强度和中间品关税和最终品进口的交叉弹性。

(三)最优歧视性关税
对中间品实施关税歧视,对最终品实施统一关税,来建立关税歧视模型。

命题1(分段关税):对于所有的最终品g和中间品h来说,最终品厂商使用关税只有两个
![]()
要么是最大值,要么是最小值。政府不会选择中间值作为关税。
命题2(中间品在高关税的时候没有进口):对给定中间品h,如果国内生产价格大于国外,生产企业有一定的政策强度,那么就会选择进口产品,此时的进口关税较低。
推论2:中间品的进口越多的时候,在均衡条件下,使用低关税进口的中间商品会更多。
(四)最优关税歧视的条件下什么产业会被选择低关税?
选择
最终品厂商会选择Z来进口低关税。

命题3:最终品的产业g,会选择政策强度强、最终品厂商关税相对于其他中间品厂商h关税低的情况下,选择低关税。
推论3:最终品厂商g使用中间品g的弹性相对于其他使用者而言会选择低关税,如果政府将所有低关税使用倒装关税(inverted tarif)和政府没有禁止生产。
三、实证部分
通过使用从公共记录和中间产品进口的外生变化汇编而成的新数据集,作者发现美国区域的形式、组成和规模是与理论一致。
(一)政策制定(命题1)
两段关税制度是最佳的贸易政策。在美国,经济特区以外的所有中间产品面临更高的关税,获准在经济特区使用特定中间品将面临较低的关税。
(二)经济特区的面积(命题2)

实证结果:

(三)哪个行业(命题3)

实证结果:

四、总结
交叉进口关税歧视是政府使用的最优政策贸易政策将盈余从消费者重新分配给生产者。实际上,这是这些经济特区具有重要的经济意义,而且一直在迅速扩大迅速。这对政策意味着什么?本文建议利用经济特区可以影响政府对关税的选择。这些变化可能会带来巨大的福利,因为经济特区可能也会改变中间关税水平免除部分用户的中间关税扭曲。
五、讨论与建议
本文从中间品和最终品的角度出发,构建了一个更加符合现实的最优统一关税模型。分享结束后,团队成员也针对其中部分内容进行了热烈的讨论。

李兵老师认为,由于本文所介绍的美国的经济特区体制与我国的相关制度有很大不同,是一种需要许可证的准入制度,因此很难从中提取出与团队研究相关的内容。该思路最大的问题在于开发区和保税区并不属于同一概念,比如开发区不一定有对关税的照顾,而且部分关键参数也不知道如何计算。因此,下一步的关键在于计算方法的理解,包括文中提到的相关弹性的计算也很重要,需要进一步加强理解。
随后,其他团队成员也发表了相关想法。本次学术研讨会充分体现了研究院浓厚的学术氛围,大家在学术交流中相互学习共同进步,提高自己的学术能力,至此,本次文献研讨会圆满结束。
拟稿:叶璐、马帅兵
编辑:陈多多
审核:李兵
审核发布:毛艳华