开放合作研究团队第32期Seminar学习讨论会
2022年4月20日晚18:30-20:30,中山大学区域开放与合作研究院学习讨论会议以线上和线下相结合的方式成功举行。本次学习讨论会由李子文博士分享文献《Estimates of the Trade and Welfare Effects of NAFTA》,该文于2015年发表在《Review of Economic Studies》期刊上。参加学习讨论会人员包括毛艳华教授、李兵副教授、副研究员、博士后以及博士生和硕士生等,另有澳门科技大学、澳门城市大学博士生通过线上形式参与了本次学习讨论会。

Estimates of the Trade and Welfare Effects of NAFTA
Lorenzo Caliendo & Fernando Parro

一、文章概述
本文建立了一个模型来估计NAFTA的贸易效应和福利效应,在模型中包含了多部门联系、中间品贸易以及生产部门的异质性,并提出了一个新方法来估计贸易弹性。文章发现,美国对墨西哥降低某个行业的关税,不仅直接降低该行业产品的价格,还降低把该产品作为原材料的行业的价格(间接降低相关行业的产品价格)。此外,文章还研究了降低关税的效应在各个部门间如何传递。
二、贸易模型
1.模型假设:
(1)N个国家,i、n代表国家
(2)J个部门,j、k代表部门
(3)部门分为两种类型,可贸易或不可贸易
(4)只有一种生产要素,即劳动力
(5)所有市场都是完全竞争的
(6)劳动力在各个部门之间流动,而不是在各国之间流动。
2.家庭(Household):消费最终产品,实现效用最大化

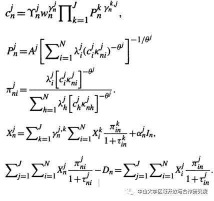
3.中间品:
(1)各个部门 j 都会生产中间品![]()
(2)中间品的生产投入就是劳动力和其他部门生产的中间品
(3)各个的生产率是不一样的,定义为![]()

4.中间品成本:
成本刻画中引入了其他部门生产的中介品价格,可以捕捉到关税对产品成本的影响在不同部门间的传递效应。

5.复合中间品(Composite intermediate goods):

6.国际贸易成本:

7.国际贸易价格( i 国卖去 n 国):

8.非贸易部门:模型设定跟贸易部门类似,只是把贸易成本设为无限大,所以厂商总会在本地采购中间品

9.国际贸易价格:中间品wj的生产率符合Fréchet distribution,且在国家、部门、商品分布是独立的。


10.支出份额:关税变化通过多部门联系传递到双边贸易份额上


11.总支出与贸易平衡:

其中,





12.相对变化的均衡:不是求某个关税政策下的均衡,而是求从政策A转变到政策B后,工资和价格的变化。可以将模型与基准年的数据精确匹配,估计纯关税变化对均衡的影响,不用估计模型中难以识别的参数,如生产率、冰山成本等。

其中,
两套关税结构为:![]()
双边贸易份额为:![]()
增加值份额为:![]()
增加值为:![]()
中间品消费份额为:![]()
(唯一需要估计的参数)部门的生产率分散度为:![]()
13.实际工资的相对变化:

通过求解(10)、(12)国内商品的支出份额和部门价格的函数,可以看出各部门贸易弹性差异对于福利的影响很重要。
14.福利效应:


15.模型求解:
猜一个相对工资的变化,利用(10)和(11)求出相对部门 j 的价格和成本,再加上进口支出占比和生产率形状参数求出关税变化后的进口支出占比,然后再加上变化后的关税、材料替代弹性,和要素替代弹性,求出一国某部门的总支出,将以上代入(13)验证是否均衡,如果不行就猜新的工资。
三、估计贸易弹性的新方法
(1)贸易弹性跟生产率的分散参数有关;
(2)生产力比较分散,进口的可替代较低,各国国家的生产率差异都不多,所以对某些国家降低关税就会引起与这些国家贸易量的大幅上升;
(3)生产力比较集中,进口的替代性高,集中在某几个国家,那么关税降低对于贸易量的影响不大。不管关税怎样都是从这几个国家进口。

其中,
n、i、h代表三个国家
部门j的产品,n运去i,i运去h,h运去n;h运去n,n运去i,i运去h

四、NAFTA的贸易和福利效应估计
实证信息:
(1)基准年为1993年,协议生效前一年;
(2)30个国家,以及其他地区;
(3)40个部门(20个贸易,20个非贸易)。
反事实1:NAFTA成员国之间从1993年到2005年的关税结构变化,并将世界其他地区的关税结构固定到1993年的水平。
反事实2:NAFTA成员国和世界其他地区的关税结构从1993年到2005年的变化。对比NAFTA成员国的关税固定在1992年,而世界其他地区的关税结构从1993年到2005年的变化。
1.NAFTA关税降低的福利影响

(1)墨西哥的福利增加了1.31%。对加拿大和美国的影响较小。加拿大下跌0.06%,而美国上涨0.08%。
(2)所有NAFTA成员国的实际工资增长和墨西哥的收益最大,其次是加拿大和美国。
2.NAFTA关税降低和贸易赤字的双边福利影响

(1)NAFTA通过在集团内创造更多贸易,为其所有成员国带来积极的福利效应。
(2)北美自由贸易协定将贸易从协定之外的国家转移出去。
3.NAFTA关税降低和贸易赤字对福利影响的部门贡献

(1)对墨西哥贸易条件变化贡献最大的三个部门是电机、通信设备和汽车,这三个部门也是对美国贸易条件变化贡献最大的部门。
(2)墨西哥和美国,每个部门都对贸易量带来的福利增长做出了积极贡献。纺织品、石油和电动机械占墨西哥和美国贸易额部门贡献的50%以上。
(3)加拿大,贡献最大的行业是纺织、石油和汽车
4.NAFTA关税降低的贸易影响

(1)墨西哥对美国和加拿大的进口均增长了110%以上,反映了墨西哥作为NAFTA成员国中间产品供应商的角色因而增加出口。
(2)北美自由贸易协定加强了这些国家在该协定之前的贸易依赖性,因此加拿大和美国从墨西哥采购了更多的商品,而墨西哥从加拿大采购了更多的商品。
5.NAFTA关税降低前后的行业出口份额

墨西哥是行业专业化程度最高的国家,而美国是最多元化的国家。
6.世界关税降低的福利影响

7.考虑世界关税变化的NAFTA的福利效应

(1)1992-2005世界关税变化,但NAFTA不变;
(2)墨西哥的变化要小点。
8.考虑世界关税变化的NAFTA的双边福利效应

(1)1992-2005世界关税不变,但NAFTA变;
(2)贸易从世界其他国家,转移至NAFAT集团内。
五、讨论

文章分享结束后,研究院成员展开了有关讨论。李兵老师对其中的生产力分散程度与进口可替代性之间的关系提出了疑问,再次细读原文后,发现生产力比较集中,进口的可替代性会越高。李子文博士在会上更正了自己的错误。会后,李兵老师充分肯定了本次文献分享,指出本文对于理解贸易模型具有重要意义。
本次学术研讨会充分体现了研究院浓厚的学术氛围,大家在学术交流中相互学习共同进步,提高自己的学术能力,至此,本次文献研讨会圆满结束。
拟稿:罗开希
编辑:陈多多
审核:李兵
审核发布:毛艳华